ปรับวิถีการเก็บหนี้ เพื่อเปลี่ยนพฤติกรรมชำระหนี้: บทเรียนจากการทดลองกับสถาบันการเงินและเกษตรกรทั่วประเทศ

excerpt
วิกฤตหนี้สินภาคเกษตรของไทยกำลังกลายเป็น "กับดักแห่งการพัฒนา" ที่ส่งต่อความเปราะบางข้ามรุ่น ซึ่งหากปราศจากการแก้ไข (Chantarat et al., Forthcoming) แสดงให้เห็นว่า ลูกหนี้เกษตรกรเกินครึ่งจะติดกับดักหนี้อย่างไม่อาจหลีกเลี่ยงได้ และแม้การเพิ่มรายได้จะเป็นทางออกที่ดีที่สุด แต่ในเชิงปฏิบัติยังคงมีข้อจำกัดเชิงโครงสร้างที่ต้องอาศัยปัจจัยสนับสนุนอีกมาก บทความนี้จึงมุ่งศึกษาบทบาทของรัฐและสถาบันการเงินในการสร้างกลไกที่เอื้อให้เกษตรกรสามารถแก้ไขหนี้ได้ด้วยตนเองอย่างมีประสิทธิภาพ โดย Chantarat et al. (2026) ได้ทำการทดลอง randomized control trial (RCT) ขนาดใหญ่กับ 120 สาขาของธนาคารเพื่อการเกษตรและสหกรณ์การเกษตร (ธ.ก.ส.) และลูกหนี้กว่า 14,240 รายทั่วประเทศ เพื่อศึกษาประสิทธิผลของ 3 มาตรการที่ถูกออกแบบมาเพื่อแก้อุปสรรคสำคัญต่อการชำระหนี้ ได้แก่ (1) การปรับโครงสร้างหนี้เพื่อให้ลูกหนี้สามารถชำระเงินต้นได้ตั้งแต่บาทแรก เพื่อปลดล็อคกลุ่มลูกหนี้ที่มียอดหนี้เกินศักยภาพจนชำระได้เพียงดอกเบี้ย (2) การใช้สลากชำระหนี้เพื่อสร้างวินัยในการชำระ และสร้างค่านิยมการทยอยชำระคืนตามกระแสเงินสด เพื่อแก้ปัญหาความไม่สอดคล้องระหว่างรอบรายได้และงวดชำระรายปี รวมถึงข้อจำกัดด้านพฤติกรรม และ (3) การลงพื้นที่รับชำระหนี้สม่ำเสมอเพื่อลดต้นทุนในการชำระหนี้ รวมถึงสร้างความคุ้นเคยและความตระหนักรู้ที่เข้มข้น ผลการศึกษาไม่เพียงสะท้อนประสิทธิผลของมาตรการในกลุ่มลูกหนี้ที่หลากหลาย แต่ยังชี้ให้เห็นถึงแนวทางในการออกแบบนโยบายอย่างเป็นรูปธรรมระหว่างรัฐ สถาบันการเงิน และลูกหนี้ เพื่อร่วมกันแก้ปัญหากับดักหนี้ในระบบเศรษฐกิจการเงินไทย
วิกฤตหนี้สินภาคเกษตรของไทยกำลังแผ่ขยายเป็นวงกว้างและหยั่งรากลึก ข้อมูลจากการสำรวจเศรษฐกิจการเงินครัวเรือนของสถาบันวิจัยเศรษฐกิจป๋วย อึ๊งภากรณ์ พบว่าเกษตรกรไทยถึง 90% มีภาระหนี้สิน (Chantarat et al., 2023) และเมื่อพิจารณาข้อมูลจากเครดิตบูโรที่รวมหนี้ในระบบทั้งหมด พบว่าเกษตรกรมีปริมาณหนี้สูงถึง 450,000 บาทต่อครัวเรือน ซึ่งสูงกว่ากลุ่มอื่นอย่างมีนัยสำคัญ และที่น่ากังวลคือยอดหนี้ดังกล่าวมีทิศทางขยายตัวอย่างต่อเนื่องตลอดทศวรรษที่ผ่านมา (Chantarat et al., Forthcoming) รูปที่ 1 สะท้อนพลวัติของหนี้เกษตรกรผ่านข้อมูลจาก ธ.ก.ส. ในช่วงปี 2561–2566 ซึ่งฉายภาพสถานการณ์ที่น่ากังวลก่อนเริ่มการทดลอง โดยค่ากลางหนี้ของเกษตรกรอยู่ที่ 250,000 บาทต่อราย แต่มีลูกหนี้ถึง 30% ที่มีหนี้มากกว่า 500,000 บาท และปริมาณหนี้สะสมเติบโตเฉลี่ยสูงถึง 114.33% ภายในระยะเวลา 6 ปี รูปที่ 1b ชี้ให้เห็นว่า มีลูกหนี้ถึง 70% ที่ภาระหนี้เพิ่มขึ้น และกว่า 20% ที่หนี้พอกพูนขึ้นมากกว่าสองเท่า สะท้อนผลจากพฤติกรรมการชำระหนี้ที่ผ่านมาในรูปที่ 1c ซึ่งลูกหนี้กว่าครึ่งชำระเงินต้นคืนได้น้อยกว่า 3% ต่อปี และมีลูกหนี้ถึง 30% ที่ไม่สามารถชำระเงินต้นได้เลยตลอด 6 ปี
ปัญหาเหล่านี้ถูก "แช่แข็ง" และสะสมความเปราะบางผ่านการแก้หนี้ที่เน้นการช่วยเหลือระยะสั้นเป็นหลัก โดยเฉพาะนโยบายพักชำระหนี้เกษตรกรที่มีออกมาถึง 13 นโยบายใหญ่ในช่วง 9 ปีที่ผ่านมา ส่งผลให้ลูกหนี้กว่า 41% ติดอยู่ในวงจรการพักหนี้นานเกิน 4 ปี ซึ่งนอกจากจะทำให้ภาระหนี้พอกพูนขึ้นแล้ว ยังบั่นทอนแรงจูงใจและวินัยทางการเงินของลูกหนี้ในวงกว้าง (Ratanavararak & Chantarat, 2022)
หากไม่มีการแก้ไขที่มองระยะยาว และหากเกษตรกรยังมีพฤติกรรมการชำระหนี้แบบที่ผ่านมา (Chantarat et al., Forthcoming) แสดงให้เห็นว่า เกินครึ่งของลูกหนี้เกษตรกรจะไม่สามารถปิดจบหนี้ได้ และหนี้เหล่านี้จะถูกส่งต่อข้ามรุ่น เปลี่ยนจากวิกฤตหนี้ให้กลายเป็นกับดักหนี้และกับดักความยากจนในที่สุด
ประการแรก คือข้อจำกัดด้านศักยภาพและความไม่สมดุลระหว่างปริมาณหนี้กับรายได้ เกษตรกรส่วนใหญ่มีรายได้น้อยและผันผวนสูงซึ่งเป็นลักษณะร่วมของครัวเรือนกลุ่มอื่น ๆ ในระบบการเงินฐานราก (Morduch, 2023) และเป็นอุปสรรคอันดับต้น ๆ ต่อการชำระหนี้ แต่สิ่งที่น่ากังวลยิ่งกว่าคือปริมาณหนี้ที่สะสมจนเกินความสามารถที่จะชำระคืนได้ จากรูปที่ 2a ที่เปรียบเทียบระยะเวลาปิดจบหนี้กับช่วงอายุที่เหลือพอจะทำงานได้ของลูกหนี้ (โดยคำนวณจากรายได้หลังหักรายจ่ายจำเป็น) พบว่า กว่า 30% ของเกษตรกรมีภาระหนี้สูงเกินกว่าจะชำระให้หมดได้ ซึ่งสภาวะเช่นนี้บีบให้ลูกหนี้ทำได้เพียงชำระหนี้เพื่อประคองภาระดอกเบี้ยให้ผ่านพ้นไปในแต่ละปีเท่านั้น ไม่สามารถชำระเพื่อลดเงินต้นได้
ประการต่อมา คืออุปสรรคทางพฤติกรรม โดยมนุษย์มักเผชิญกับความลำเอียงที่ยึดติดปัจจุบัน (present bias) ซึ่งให้ความสำคัญกับการบริโภคในวันนี้มากกว่าการลดภาระหนี้ในอนาคต ส่งผลให้การชำระหนี้ถูกมองเป็นต้นทุนที่สูงในมุมมองของปัจจุบัน (Meier & Sprenger, 2010) ปัญหานี้ทวีความรุนแรงขึ้นเมื่อโครงสร้างสัญญาหนี้รายปีไม่สอดคล้องกับรอบรายได้ที่เข้ามาบ่อยขึ้นและจากหลายแหล่งขึ้นของเกษตรกรไทยกว่า 65% (รูปที่ 2b) ทำให้รายได้ส่วนเพิ่มที่เข้ามาไม่ตรงงวดชำระ มักถูกจัดสรรไปใช้จ่ายด้านอื่นแทนการชำระหนี้ (Kono et al., 2021) นอกจากนี้ แรงจูงใจที่บิดเบือนจากนโยบายช่วยเหลือระยะสั้นในอดีต (Kanz, 2016) และกลไกการบังคับชำระหนี้ของ ธ.ก.ส. ที่อ่อนแรง (Cadena & Schoar, 2011; Giné & Yang, 2009) ต่างบั่นทอนวินัยและลดความพยายามในการชำระหนี้
สุดท้าย คืออุปสรรคด้านต้นทุนธุรกรรมและการขาดความตระหนักรู้ เนื่องจากกว่าครึ่งของเกษตรกรอาศัยอยู่ห่างจากสาขาของ ธ.ก.ส. เกิน 7.5 กม. (รูปที่ 2c) และในช่วงเวลาก่อนการทดลอง การชำระหนี้ทำได้เพียงที่สาขาเท่านั้น ต้นทุนการเดินทางและค่าเสียโอกาสที่สูง (โดยเฉลี่ยประมาณ 300–1,000 บาทต่อครั้ง) ส่งผลให้การนำเงินสดส่วนเกินจำนวนไม่มากในแต่ละเดือนไปชำระหนี้ไม่คุ้มค่าทางเศรษฐศาสตร์ (Kochar, 2018; Jack & Suri, 2014) นอกจากนี้ การขาดความตระหนักรู้ถึงสถานภาพหนี้และมาตรการช่วยเหลือ ยังเป็นอุปสรรคสำคัญต่อการจัดการหนี้ของเกษตรกร (Saulı̄tis, 2023; Adams et al., 2022)
นับตั้งแต่ปี 2565 สถาบันวิจัยเศรษฐกิจป๋วย อึ๊งภากรณ์ และ ธ.ก.ส. ได้ร่วมกันดำเนินโครงการ "สนามทดลองเพื่อแก้หนี้เกษตรกรอย่างยั่งยืน" เพื่อวิเคราะห์ต้นเหตุของกับดักหนี้ในกลุ่มลูกหนี้กว่าครึ่งที่ชำระได้เพียงดอกเบี้ยตลอดมา ซึ่งการวิเคราะห์ข้อมูล ร่วมกับการลงพื้นที่สำรวจเชิงลึกและสนทนากลุ่ม (focus group discussion) นำไปสู่การออกแบบ 3 มาตรการที่มุ่งทลายอุปสรรคสำคัญในการชำระหนี้ ดังนี้
มาตรการนี้ถูกออกแบบมาเพื่อแก้ข้อจำกัดด้านศักยภาพการชำระหนี้ และมุ่งปลดล็อคการชำระหนี้ได้เพียงดอกเบี้ยในกลุ่มลูกหนี้ที่มีหนี้สูงเกินศักยภาพ โดยภายใต้นโยบายพักหนี้ล่าสุดที่รัฐรับชำระดอกเบี้ยทั้งหมดให้แก่ผู้เข้าร่วม หากลูกหนี้ยังคงชำระหนี้ได้ จะสามารถนำไปตัดเงินต้นได้ตั้งแต่บาทแรก แทนที่จะนำไปตัดดอกเบี้ยค้างรับตามปกติ กลไกนี้จึงทำให้นโยบายพักหนี้ครั้งนี้สามารถช่วยลูกหนี้ได้ตามศักยภาพ กล่าวคือลูกหนี้สามารถหยุดพักชำระได้หากมีปัญหา แต่หากยังพอมีกำลัง การชำระในช่วงนี้จะช่วยลดหนี้ได้เร็ว (Vannavanit et al., 2026) ซึ่งถือเป็น "โอกาสทอง" ในการชำระเงินต้นและปลดหนี้ สอดคล้องกับงานวิจัยของ Dobbie & Song (2020) และ Ong et al. (2019)
นโยบายนี้ดำเนินการใน 3 เฟส ตั้งแต่มกราคม 2567 ถึงกันยายน 2569 โดยจำกัดสิทธิ์เฉพาะลูกหนี้ที่มีหนี้ไม่เกิน 300,000 บาท ซึ่งที่ผ่านมามีลูกหนี้เข้ามาตรการ 1.4 ล้านราย (66.6% ของผู้มีสิทธิ์) อย่างไรก็ตาม เนื่องจากภาพลักษณ์ของโครงการถูกประชาสัมพันธ์เป็นนโยบายพักหนี้เป็นหลัก ทำให้ลูกหนี้ส่วนใหญ่ไม่ทราบถึงคุณสมบัติพิเศษในการชำระตัดเงินต้น ในสาขาทดลองของ ธ.ก.ส. จึงได้ใช้กลยุทธ์การสื่อสารเชิงรุกผ่านการจัดประชุมกลุ่มกับลูกหนี้รายเดือน เพื่อย้ำเตือนและสร้างความตระหนักรู้ที่เข้มข้นแก่ลูกหนี้ในกลุ่มทดลอง โดยจะมีเฉพาะลูกหนี้ที่เข้านโยบายพักหนี้เท่านั้นที่จะได้รับผลจากมาตรการนี้ (รูปที่ 3a)
มาตรการนี้มุ่งแก้อคติทางพฤติกรรมและ mismatching ของรอบรายได้กับงวดจ่าย โดยใช้กลไกการสะกิดพฤติกรรมที่สอดคล้องกับวิถีชีวิตของเกษตรกรไทยที่มีความคุ้นเคยกับการเสี่ยงโชคเป็นทุนเดิม มาตรการนี้เปลี่ยนการชำระหนี้จาก "ภาระในปัจจุบัน" ให้กลายเป็น "โอกาสในการรับรางวัล" เพื่อจูงใจลูกหนี้ที่มี present bias ให้นำเงินรายได้ก้อนเล็กที่เข้ามาบ่อยครั้งตลอดทั้งปีมาชำระหนี้ทันที แทนที่จะนำไปใช้จ่ายอื่น โดยทุกการชำระหนี้ 1,000 บาทจะได้รับ 1 สิทธิ์ลุ้นรางวัลใหญ่ที่เทียบได้กับสลากกินแบ่งรัฐบาล และมีการจับรางวัลสม่ำเสมอทุกไตรมาสเพื่อกระตุ้นวินัยการชำระหนี้ และสร้างค่านิยมการทยอยชำระหนี้ให้บ่อยขึ้นตามกระแสเงินสด สอดคล้องกับแนวคิด prize-linked repayment ในงานวิจัยของ Cole et al. (2022) และ Burke (2021) นอกจากนี้ มาตรการนี้ยังถูกออกแบบมาเพื่อจูงใจให้จ่ายหนี้ลึกถึงเงินต้น ผ่านการมอบสิทธิ์ลุ้นรางวัลพิเศษสำหรับการชำระที่ตัดเงินต้น
การปรับเปลี่ยนแรงจูงใจจากงวดชำระรายปีที่ห่างไกลมาเป็นหมุดหมายรายไตรมาสที่สม่ำเสมอ ช่วยสะกิดให้ลูกหนี้นำเงินที่เหลือมาชำระหนี้ก่อนกำหนด และก่อนที่จะถูกดึงไปใช้จ่ายอื่น ๆ ยังแสดงให้เห็นว่า มาตรการนี้ทำหน้าที่สร้าง “สัญญาที่ยืดหยุ่น" หรือ flexible commitment ตามแนวคิดใหม่ในวรรณกรรม microfinance ซึ่งมีประสิทธิภาพกว่าการปรับงวดชำระให้เคร่งครัดตามรอบรายได้ที่อาจสร้างความกดดันให้ครัวเรือนที่รายได้ไม่แน่นอน (Field et al., 2012; Battaglia et al., 2024)
ทั้งนี้ มาตรการมีการเปิดตัวทั่วประเทศตั้งแต่มกราคม–กรกฎาคม 2567 แต่ด้วยความซับซ้อนของโครงการและขาดการประชาสัมพันธ์ที่เข้มข้น ในสาขาทดลองของ ธ.ก.ส. จึงได้ใช้กลยุทธ์การสื่อสารเชิงรุกผ่านการจัดประชุมกลุ่มรายเดือน จัดกิจกรรมร่วมลุ้นและมอบรางวัลในพื้นที่ และบริการตรวจรางวัลเพื่อสร้างความตระหนักรู้ที่เข้มข้นให้กับลูกหนี้ในกลุ่มทดลอง ตามรูปที่ 3b
มาตรการนี้ถูกออกแบบมาเพื่อทลายข้อจำกัดด้านต้นทุนในการชำระหนี้ เนื่องจากเกษตรกรกว่า 50% อาศัยอยู่ห่างจากสาขาของ ธ.ก.ส. เกิน 7.5 กม. ทำให้ต้นทุนการเดินทางและค่าเสียโอกาสอาจสูงกว่ายอดเงินที่เหลือพอชำระหนี้ การที่เจ้าหน้าที่ ธ.ก.ส. ลงพื้นที่เพื่อรับชำระหนี้ ณ สถานที่และเวลาที่นัดหมายล่วงหน้าทุกเดือน พร้อมแจ้งเตือนผ่านหัวหน้ากลุ่ม ตามรูปที่ 3c อาจช่วยให้ครัวเรือนสามารถนำเงินที่เหลือในแต่ละเดือนมาชำระหนี้ได้ และสะดวกสบายขึ้นอย่างมาก สอดคล้องกับแนวทางของ Jack & Suri (2014)
นอกเหนือจากความสะดวก การที่ ธ.ก.ส. จัดประชุมกลุ่มกับลูกหนี้ทุกเดือนยังช่วยสร้างความคุ้นเคยและความตระหนักรู้ที่เข้มข้น รวมถึงสร้างวินัยในการชำระหนี้ผ่านกลไกพันธะทางสังคมอย่างอ่อน (soft social commitment) โดยการจัดหน่วยรับชำระเงินในพื้นที่สาธารณะของหมู่บ้าน ทำให้เกิดเป็นกิจกรรมส่วนรวมที่สมาชิกในชุมชนรับรู้ร่วมกัน การที่ลูกหนี้เห็นเพื่อนสมาชิกในกลุ่มเข้าร่วมประชุมและชำระหนี้ ทำหน้าที่เป็น "แรงสะกิดทางสังคม" ที่ช่วยกระตุ้นให้คนอื่น ๆ อยากชำระหนี้ตามไปด้วย
งานวิจัยนี้ทำ randomized control trial ขนาดใหญ่ ใน 120 สาขาของ ธ.ก.ส. ครอบคลุมเกษตรกรกลุ่มตัวอย่าง 14,240 รายทั่วประเทศ ในช่วงเดือนมีนาคมถึงธันวาคม 2567 โดยมีวัตถุประสงค์เพื่อศึกษาประสิทธิผลของมาตรการต่อพฤติกรรมการชำระหนี้ของเกษตรกร แต่เนื่องจากมาตรการพักหนี้ และสลากชำระดีมีโชค มีการประกาศใช้ในระดับนโยบายทั่วประเทศในช่วงเวลาเดียวกัน การศึกษานี้จึงประยุกต์ใช้เทคนิค encouragement design (Angrist et al., 1996) โดยให้สาขาในกลุ่มทดลองดำเนินการสื่อสารลูกหนี้ในกลุ่มทดลองเพื่อสร้างการรับรู้และการเข้าถึง (exposure) อย่างเข้มข้น ภายใต้สมมติฐานว่า หากความตระหนักรู้ที่เพิ่มขึ้นในกลุ่มทดลองนำไปสู่ความเปลี่ยนแปลงของพฤติกรรมที่แตกต่างจากกลุ่มอื่นอย่างมีนัยสำคัญ ความเปลี่ยนแปลงดังกล่าวจะสามารถสะท้อนถึงประสิทธิผลของมาตรการนั้นได้
กลุ่มทดลองได้ถูกออกแบบเพื่อมุ่งศึกษาประสิทธิผลของแต่ละมาตรการและผลเมื่อถูกดำเนินการร่วมกัน โดยคณะวิจัยทำการสุ่มดำเนินการในระดับสาขา เพื่อลดโอกาสที่ข้อมูลและการดำเนินการทดลองในกลุ่มต่าง ๆ จะแพร่กระจายถึงกันจนทำให้ผลการทดลองปนกัน (spillover effects)1 โดยคณะวิจัยได้แบ่งสาขาออกเป็น 5 กลุ่มทดลอง (กลุ่มละ 24 สาขา) ดังนี้
- กลุ่มควบคุม (control): สาขาดำเนินการตามแนวทางปกติของ ธ.ก.ส. เพื่อเป็นกลุ่มที่ใช้เปรียบเทียบผลกับกลุ่มทดลองอื่น ๆ (counterfactual)
- กลุ่ม T1 (นาทีทองชำระเงินต้น): สาขานัดประชุมกลุ่มรายเดือนกับลูกหนี้ตัวอย่าง เพื่อสื่อสารให้เข้าใจถึงนาทีทองในการชำระเงินต้นภายใต้มาตรการพักหนี้
- กลุ่ม T2 (นาทีทองชำระเงินต้น + สลากชำระหนี้): สาขานัดประชุมกลุ่มรายเดือนกับลูกหนี้ตัวอย่าง เพื่อสื่อสารให้เข้าใจถึงนาทีทองชำระเงินต้น และสลากชำระดีมีโชค
- กลุ่ม T3 (นาทีทองชำระเงินต้น + ธนาคารใกล้บ้าน): สาขาไปรับชำระหนี้ในพื้นที่ทุกเดือนตามเวลาและสถานที่นัดหมาย และมีการนัดประชุมกลุ่มเพื่อสื่อสารให้เข้าใจถึงนาทีทองชำระเงินต้น
- กลุ่ม T4 (นาทีทองชำระเงินต้น + สลากชำระหนี้ + ธนาคารใกล้บ้าน): สาขาไปรับชำระหนี้ในพื้นที่ทุกเดือนตามเวลาและสถานที่นัดหมาย และมีการนัดประชุมกลุ่มเพื่อสื่อสารให้เข้าใจถึงนาทีทองชำระเงินต้น และสลากชำระดีมีโชค
การสุ่มสาขาเพื่อดำเนินการทดลองใช้วิธี clustered randomization เพื่อคัดเลือกสาขาตัวแทนให้ครอบคลุมพื้นที่เกษตรกรรมสำคัญใน 6 ภูมิภาคทั่วประเทศ ที่มีความหลากหลายของระบบการเพาะปลูก สภาพภูมิอากาศ รายได้ และความเสี่ยงที่แตกต่างกัน ซึ่งเป็นปัจจัยสำคัญที่ส่งผลต่อพฤติกรรมการชำระหนี้และประสิทธิผลของมาตรการที่ทดลอง โดยในแต่ละภูมิภาค คณะวิจัยได้พิจารณาคัดเลือกจังหวัดหรือกลุ่มจังหวัดที่มีความสำคัญทางเกษตรกรรมภูมิภาคละ 2 แห่ง2
ในแต่ละจังหวัด คณะวิจัยได้ร่วมกับ ธ.ก.ส. พิจารณาคัดเลือก 10 สาขาที่มีความพร้อมในเชิงปฏิบัติการ และมีสัดส่วนเกษตรกรที่เข้ามาตรการพักหนี้สูง เพื่อให้มั่นใจว่าจะมีขนาดกลุ่มตัวอย่างที่เพียงพอต่อการวิเคราะห์ทางสถิติ ก่อนจะดำเนินการสุ่ม 2 สาขาเข้าสู่แต่ละกลุ่มทดลอง ส่งผลให้ได้สาขาทดลองรวมทั้งสิ้น 120 สาขา จาก 12 (กลุ่ม) จังหวัดทั่วประเทศ โดยในแต่ละกลุ่มทดลองจะประกอบด้วย 24 สาขาที่กระจายตัวอยู่ทั่วทุกพื้นที่ตามรูปที่ 4
สำหรับการสุ่มเลือกเกษตรกรตัวอย่างในแต่ละสาขา คณะวิจัยได้สุ่มเลือกเกษตรกรจากฐานข้อมูลลูกหนี้ของ ธ.ก.ส. สาขาละประมาณ 120 ราย โดยอาศัยกลไกเครือข่ายกลุ่มเกษตรกรและหัวหน้ากลุ่มที่ธนาคารใช้ในการประสานงานอยู่เดิม เพื่อช่วยเพิ่มประสิทธิภาพในการดำเนินงาน และได้สุ่มดำเนินการทดลองกับ 12 กลุ่มเกษตรกรต่อสาขา (เฉลี่ยกลุ่มละ 10 ราย) ซึ่งครอบคลุมทั้งลูกหนี้ที่เข้าและไม่เข้ามาตรการพักหนี้ตามสัดส่วนจริงของแต่ละกลุ่ม ซึ่งกระบวนการดังกล่าวส่งผลให้ได้กลุ่มลูกหนี้ตัวอย่างสำหรับการศึกษาวิจัยรวมทั้งสิ้นประมาณ 14,240 ราย และ 52% อยู่ในมาตรการพักหนี้
การทดลองนี้ใช้ข้อมูลจาก 2 ส่วน ส่วนแรกคือ administrative data ของลูกหนี้กลุ่มตัวอย่าง 14,240 ราย ซึ่งมาจากข้อมูลสินเชื่อและพฤติกรรมการชำระหนี้รายเดือน รวมถึงสถานะทางเศรษฐกิจของลูกหนี้จาก ธ.ก.ส. ตั้งแต่มีนาคม 2566 ถึงธันวาคม 2567 และคณะวิจัยได้เชื่อมโยงฐานข้อมูลนี้เข้ากับทะเบียนเกษตรกรและฐานข้อมูลสวัสดิการภาครัฐอื่น ๆ เพื่อต่อภาพให้เห็นทั้งลักษณะ ศักยภาพ และความเสี่ยงในการประกอบอาชีพ และความช่วยเหลือที่ลูกหนี้ได้รับจากรัฐอย่างเป็นระบบ
ส่วนที่สอง คือข้อมูลจากการสำรวจภาคสนาม ซึ่งคณะวิจัยได้จัดเก็บเพิ่มเติมจากกลุ่มตัวอย่าง 3,840 ราย (40 รายต่อสาขา) เพื่อเติมเต็มข้อเท็จจริงที่ไม่ได้ปรากฏใน administrative data เช่น ภาระหนี้อื่น ๆ ทัศนคติ และความตระหนักรู้ต่อมาตรการทดลอง โดยดำเนินการสำรวจ 2 รอบ คือ รอบกลางโครงการ (มิถุนายน–สิงหาคม 2567) เพื่อติดตามผลลัพธ์ในระยะสั้น และรอบหลังสิ้นสุดโครงการ (มกราคม–มีนาคม 2568) เพื่อประเมินการเปลี่ยนแปลงเชิงพฤติกรรมในระยะที่ยาวขึ้น
ในภาพรวม คณะวิจัยได้ทดสอบความสมดุลของข้อมูล (balance test) และไม่พบความแตกต่างอย่างมีนัยสำคัญของคุณลักษณะลูกหนี้ระหว่างกลุ่มทดลองต่าง ๆ จากข้อมูลทั้งสองส่วน และยังพบว่าในกลุ่มทดลองที่มี encouragement design ผ่านการสื่อสารและให้ข้อมูลเชิงรุก ลูกหนี้มีความเข้าใจในรายละเอียดของมาตรการทดลองมากกว่ากลุ่มที่ไม่ได้รับแรงกระตุ้นอย่างมีนัยสำคัญ ซึ่งสามารถสะท้อนถึงความเหมาะสมของกระบวนการสุ่มกลุ่มตัวอย่างของงานวิจัยนี้ได้เป็นอย่างดี
เนื่องจากมาตรการนาทีทองชำระเงินต้นส่งผลโดยตรงเฉพาะกับลูกหนี้ในโครงการพักหนี้ คณะวิจัยจึงแยกวิเคราะห์ผลของลูกหนี้ทั้งสองกลุ่มออกจากกันเพื่อให้เห็นประสิทธิผลที่ชัดเจน โดยในภาพรวม 52% ของกลุ่มตัวอย่างอยู่ในมาตรการพักหนี้ ซึ่งโดยพื้นฐานมีระดับหนี้เฉลี่ยต่ำกว่ากลุ่มที่ไม่ได้เข้าร่วมมาตรการ
รูปที่ 5 แสดงพฤติกรรมการชำระหนี้รายเดือนทั้งในช่วงก่อนและระหว่างการดำเนินการทดลอง ใน 3 มิติสำคัญ ได้แก่ โอกาสในการชำระหนี้ โอกาสในการชำระเงินต้น และโอกาสการเกิดหนี้เสียใหม่ และพฤติกรรมเหล่านี้ของลูกหนี้ทุกกลุ่มในช่วงก่อนทดลองไม่แตกต่างกันอย่างมีนัยสำคัญ และพฤติกรรมของลูกหนี้กลุ่ม T1 ที่ไม่ได้อยู่ในมาตรการพักหนี้ (และผลจากมาตรการนาทีทองชำระเงินต้น) ก็ไม่แตกต่างจากกลุ่มควบคุมอย่างมีนัยสำคัญในทุกช่วงเช่นกัน ซึ่งก็ยืนยันถึงความเหมาะสมของการทดลองครั้งนี้
มาตรการสลากชำระดีมีโชค และธนาคารใกล้บ้าน สามารถกระตุ้นให้เกษตรกรชำระหนี้ได้บ่อยขึ้นและก่อนถึงกำหนดอย่างมีนัยสำคัญโดยไม่จำเป็นต้องอาศัยการเพิ่มศักยภาพรายได้ โดยรูปที่ 5 ชี้ว่ากลุ่ม T2, T3 และ T4 ส่งผลให้เกิดพฤติกรรมการทยอยชำระคืนที่สม่ำเสมอขึ้นเมื่อเทียบกับกลุ่มควบคุม โดยเฉพาะอย่างยิ่งในกลุ่มลูกหนี้ที่เข้าโครงการพักหนี้ ซึ่งโดยปกติแทบไม่มีการชำระหนี้ในช่วงดังกล่าว
การปรับลำดับการชำระเงินต้น ยังคงเป็น “กระดุมเม็ดแรก” ที่จำเป็นต่อการลดภาระหนี้ในระยะยาว โดยแม้มาตรการกระตุ้นวินัยจะช่วยให้เกิดการชำระบ่อยขึ้น แต่ผลจากกลุ่ม T2, T3 และ T4 ต่อโอกาสการชำระตัดเงินต้นนั้น เกิดขึ้นเฉพาะกับลูกหนี้กลุ่มที่ได้รับสิทธิ์นาทีทองชำระเงินต้นเท่านั้น ขณะที่กลุ่มที่ไม่ได้รับสิทธิ์นี้ วินัยการชำระที่เพิ่มขึ้นยังไม่เพียงพอที่จะส่งผลถึงยอดเงินต้นอย่างมีนัยสำคัญ
ในขณะเดียวกันมาตรการนาทีทองชำระเงินต้น เพียงอย่างเดียวก็ไม่สามารถปรับเปลี่ยนพฤติกรรมการชำระหนี้ได้ หากขาดกลไกการสร้างวินัยอย่างสม่ำเสมอ ซึ่งจากรูป 5 จะเห็นได้ว่ากลุ่ม T1 ไม่มีผลต่อพฤติกรรมการชำระหนี้ในมิติใด ๆ ของลูกหนี้กลุ่มที่เข้าพักหนี้อย่างมีนัยสำคัญ สะท้อนว่าความตื่นตัวจากการรับรู้ข้อมูลชั่วคราวอาจไม่ส่งผลตามคาดหากไม่มีกลไกสนับสนุนและสร้างวินัยต่อเนื่อง
รูปที่ 6 แสดงประสิทธิผลของแต่ละกลุ่มทดลอง (treatment effects) ต่อพฤติกรรมการชำระหนี้ ผ่านการวิเคราะห์ด้วยวิธี Difference-in-Differences Estimation ซึ่งเป็นการเปรียบเทียบการเปลี่ยนแปลงของการชำระหนี้ในช่วงที่ดำเนินมาตรการ กับช่วงปีที่ผ่านมาของแต่ละกลุ่มทดลอง และเทียบกับการเปลี่ยนแปลงของกลุ่มควบคุม โดยได้มีการควบคุมปัจจัยแวดล้อมต่าง ๆ ที่อาจส่งผลกระทบอย่างเป็นระบบ ซึ่งชี้ให้เห็นผลที่สอดคล้องกับรูปที่ 5 ว่ากลุ่ม T3, T4 สามารถกระตุ้นให้เกษตรกรทุกกลุ่มชำระหนี้ได้บ่อยขึ้นอย่างมีนัยสำคัญ แต่หากไม่มีการปรับลำดับชำระเงินต้น ก็ยากที่จะเพิ่มโอกาสการตัดเงินต้นได้
มาตรการธนาคารใกล้บ้านมีประสิทธิผลโดดเด่นที่สุดในการกระตุ้นให้เกษตรกรมีวินัยในการชำระบ่อยขึ้นและสม่ำเสมอขึ้น รวมถึงลดโอกาสการเกิดหนี้เสียใหม่อย่างมีนัยสำคัญ จากรูปที่ 5 และ 6 พบว่า กลุ่ม T3 และ T4 มีประสิทธิผลสูงสุดในการกระตุ้นการชำระหนี้ให้บ่อยขึ้น และเพิ่มโอกาสตัดเงินต้นในกลุ่มลูกหนี้ที่ได้นาทีทองชำระเงินต้น แต่ผลของทั้งสองกลุ่มไม่ได้ต่างกัน แสดงให้เห็นว่าประสิทธิผลของ 2 กลุ่มทดลองนี้มาจากมาตรการธนาคารใกล้บ้านเป็นหลัก และจากรูปที่ 6c แสดงให้เห็นว่ากลุ่ม T3 ยังช่วยลดโอกาสเกิดหนี้เสียใหม่ของกลุ่มลูกหนี้ที่ไม่เข้าพักหนี้อย่างมีนัยสำคัญ
มาตรการสลากชำระดีมีโชคสามารถกระตุ้นการชำระหนี้ที่ “ลึกขึ้น” ได้อย่างมีนัยสำคัญ โดยรูปที่ 6 ชี้ให้เห็นว่ากลุ่ม T2 เป็นเพียงกลุ่มเดียวที่สามารถกระตุ้นให้ลูกหนี้ที่ไม่เข้ามาตรการพักหนี้สามารถชำระเงินต้นได้มากขึ้นอย่างมีนัยสำคัญ และเมื่อวิเคราะห์ลึกลงไปในปริมาณเงินต้นที่ลดลง Chantarat et al. (2026) พบว่า กลุ่ม T2 สามารถลดภาระเงินต้นได้ลึกขึ้นอย่างมีนัยสำคัญในลูกหนี้ทั้งสองกลุ่ม และเห็นผลเช่นเดียวกันในกลุ่ม T4 ซึ่งมีสลากชำระดีมีโชค สามารถลดภาระเงินต้นได้ลึกกว่ากลุ่ม T3 อย่างมีนัยสำคัญ
มาตรการกระตุ้นชำระหนี้มีประสิทธิผลอย่างชัดเจนในกลุ่มลูกหนี้ที่ยังคงมีศักยภาพในการชำระหนี้ แต่ไม่สามารถทดแทนความจำเป็นในการเพิ่มรายได้สำหรับกลุ่มที่ขาดศักยภาพทางการเงินอย่างแท้จริง โดยรูปที่ 7 แสดงประสิทธิผลของกลุ่มทดลองต่อความถี่ในการชำระหนี้ แยกตามศักยภาพในการชำระหนี้ ซึ่งพิจารณาจากประวัติการไม่มีหนี้เสียในรอบ 3 ปี และและศักยภาพในการปิดจบหนี้ภายในอายุ 70 ปี พบในรูป 7a ว่าแม้กลุ่ม T3 และ T4 จะสามารถกระตุ้นการชำระหนี้ได้ทุกกลุ่ม แต่ประสิทธิผลในกลุ่มที่มีศักยภาพนั้นมีความโดดเด่นกว่าอย่างเห็นได้ชัด ขณะที่มาตรการสลากชำระดีมีโชคกลับไม่สามารถปรับเปลี่ยนพฤติกรรมของกลุ่มที่ขาดศักยภาพมาตั้งแต่ต้นได้
หากดำเนินมาตรการนาทีทองชำระเงินต้นควบคู่กับมาตรการกระตุ้นและสร้างวินัยอื่น ๆ จะช่วยตอบโจทย์กลุ่มลูกหนี้ที่ขาดศักยภาพในการปิดจบหนี้และกลุ่มที่เผชิญปัญหา mismatching ได้ชัดเจนที่สุด โดยรูป 7b พบว่าแม้กลุ่ม T2, T3 และ T4 จะกระตุ้นการชำระได้ในทุกกลุ่ม แต่เมื่อดำเนินการร่วมกับนาทีทองชำระเงินต้นจะส่งผลสูงเป็นพิเศษในกลุ่มที่ขาดศักยภาพปิดจบหนี้ ขณะที่รูป 8a แสดงผลในทิศทางเดียวกันกับกลุ่มที่มีรายได้เข้ามาถี่ ซึ่งช่วยแก้ปัญหาความไม่สอดคล้องของกระแสเงินสดกับงวดชำระได้ตามสมมติฐานของคณะวิจัย
เนื่องจากมาตรการกระตุ้นมีลักษณะเป็นข้อตกลงแบบยืดหยุ่น (soft commitment) ประสิทธิผลที่สูงจึงยังคงขึ้นอยู่กับพื้นฐานวินัยการชำระหนี้ที่สม่ำเสมอของลูกหนี้เป็นสำคัญ โดยรูปที่ 8b ชี้ให้เห็นข้อค้นพบนี้โดยเฉพาะในกลุ่มลูกหนี้ที่เข้ามาตรการพักหนี้และได้สิทธิ์นาทีทองชำระเงินต้น ซึ่งสะท้อนว่าแม้มาตรการจะช่วยกระตุ้นกลุ่มที่มีพฤติกรรมไม่สม่ำเสมอให้กลับมาชำระหนี้ได้มากขึ้นอย่างมีนัยสำคัญ แต่ผลสัมฤทธิ์ในระดับสูงยังต้องอาศัยวินัยในการชำระอย่างต่อเนื่อง
มาตรการธนาคารใกล้บ้าน ส่งผลต่อพฤติกรรมการชำระหนี้ในลักษณะไม่เป็นเส้นตรง (non-linear) โดยมีประสิทธิผลโดดเด่นในทั้งกลุ่มที่อยู่ไกลและกลุ่มที่อยู่ใกล้สาขามากที่สุด รูปที่ 9 แสดงข้อค้นพบนี้ในกลุ่ม T3 และ T4 ซึ่งอาจสะท้อนให้เห็นว่า มาตรการสามารถบรรเทาอุปสรรคด้านต้นทุนการเดินทางให้กับกลุ่มลูกหนี้ที่อยู่ไกลได้อย่างมีนัยสำคัญ ในขณะเดียวกันมาตรการยังช่วยสร้างความคุ้นเคยและการรับรู้ที่เพิ่มขึ้นในกลุ่มลูกหนี้ที่อยู่ใกล้สาขา ซึ่งเป็นพื้นที่ที่โดยปกติสาขามักไม่ค่อยได้ลงไปทำกิจกรรม การลดช่องว่างในการเข้าถึงลูกหนี้ทั้งสองกลุ่มจึงเป็นปัจจัยสำคัญที่ช่วยกระตุ้นการชำระหนี้ให้เพิ่มขึ้นได้
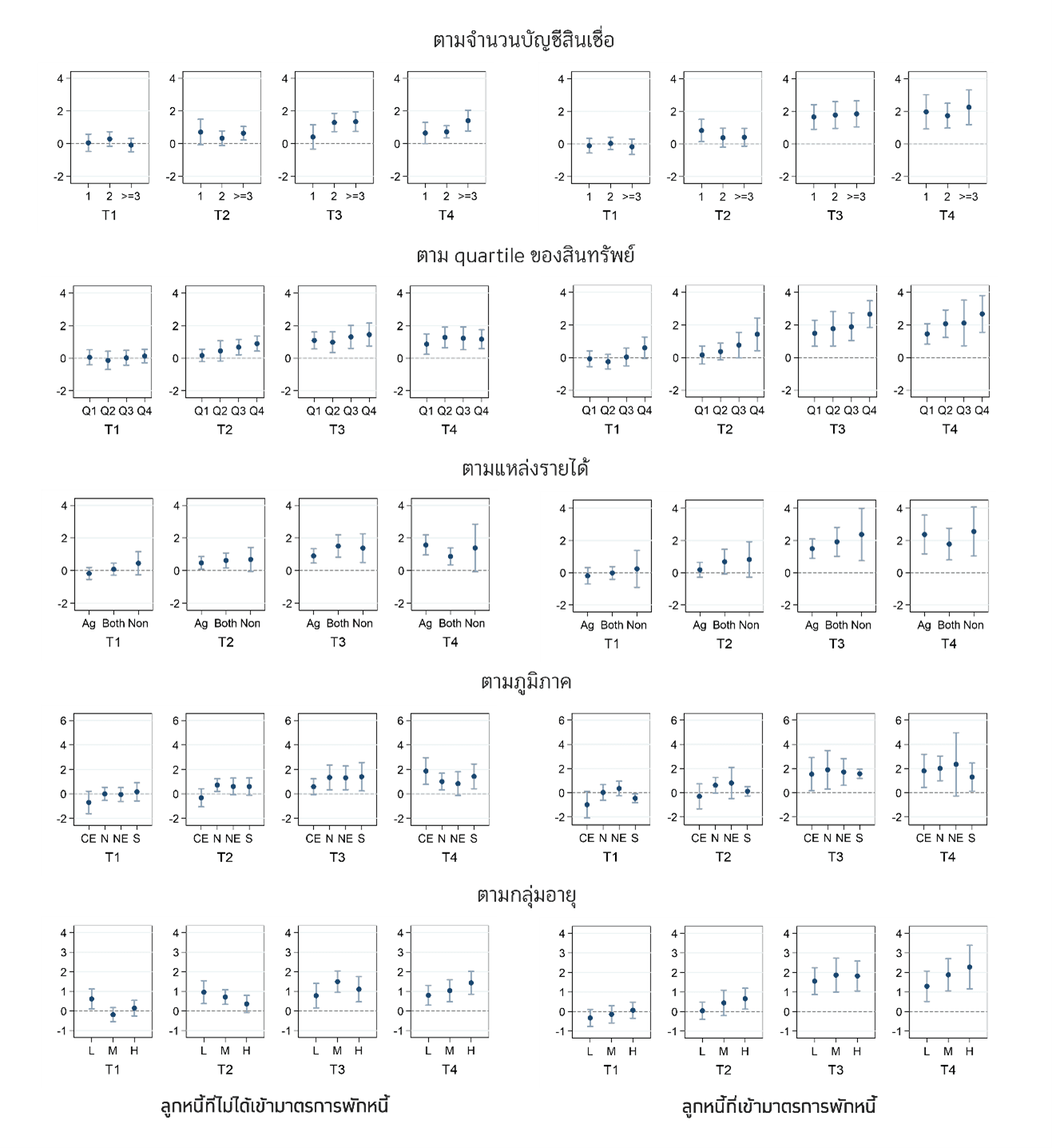
รูปที่ 10 แสดงประสิทธิผลของมาตรการต่อลูกหนี้จำแนกตามคุณลักษณะต่าง ๆ ทั้งจำนวนบัญชีสินเชื่อ ระดับความมั่งคั่ง แหล่งรายได้ ภูมิภาค และช่วงอายุ โดยในภาพรวมพบว่ากลุ่ม T3 และ T4 มีประสิทธิผลสูงสุดและมีนัยสำคัญในทุกกลุ่มตัวอย่าง อย่างไรก็ตาม ประสิทธิผลต่อการชำระเพื่อลดเงินต้นยังคงมีเงื่อนไขสำคัญอยู่ที่การได้รับสิทธิ์มาตรการนาทีทองชำระเงินต้นเป็นสำคัญ
มาตรการกระตุ้นเหล่านี้มีประสิทธิผลเพิ่มขึ้นตามระดับความมั่งคั่งของลูกหนี้ และส่งผลชัดเจนในกลุ่มครัวเรือนที่พึ่งพารายได้นอกภาคเกษตรเป็นหลัก และกลุ่ม T3 และ T4 มีประสิทธิผลสูงต่อความถี่ในการชำระหนี้โดยเฉพาะของลูกหนี้ที่มีบัญชีเงินกู้หลายประเภท ซึ่งก็สะท้อนว่าการสะกิดพฤติกรรมและการสร้างวินัยมีพลังอย่างมากสำหรับลูกหนี้ที่ต้องจัดการภาระหนี้ที่ซับซ้อน
ในมิติภูมิภาค มาตรการธนาคารใกล้บ้านส่งผลดีในทุกภูมิภาค ขณะที่มาตรการสลากชำระดีมีโชคกลับมีประสิทธิผลอย่างมีนัยสำคัญเฉพาะในภาคเหนือ แต่ไม่แสดงผลอย่างมีนัยสำคัญในภาคกลาง และมีผลเพียงเล็กน้อยในภาคตะวันออกเฉียงเหนือและภาคใต้ นอกจากนี้ ในมิติด้านอายุพบว่ากลุ่มลูกหนี้สูงอายุได้รับประโยชน์อย่างมากจากมาตรการธนาคารใกล้บ้าน ซึ่งช่วยบรรเทาอุปสรรคด้านการเดินทางและต้นทุนการเข้าถึงบริการได้ตามสมมติฐานที่ตั้งไว้
การดำเนินมาตรการสลากชำระดีมีโชคควบคู่กับนาทีทองชำระเงินต้นส่งผลให้ลูกหนี้ปรับลดสัดส่วนการชำระหนี้จากแหล่งอื่นลงอย่างมีนัยสำคัญ แต่ยังไม่พบผลกระทบต่อโอกาสในการผิดนัดชำระหนี้ โดยรูปที่ 11 แสดงผลของมาตรการต่อการชำระหนี้จากแหล่งอื่น และโอกาสการผิดนัดชำระหนี้ โดยใช้ข้อมูลจากการสำรวจเชิงลึก ซึ่งรูปที่ 11a ชี้ว่ากลุ่ม T2 มีอัตราการชำระหนี้อื่น ๆ น้อยลงอย่างมีนัยสำคัญในกลุ่มลูกหนี้ที่ได้นาทีทองชำระเงินต้น แต่ไม่เห็นผลต่อโอกาสผิดนัดอย่างมีนัยสำคัญในรูปที่ 11b
ในการประเมินว่ามาตรการต่าง ๆ จะสามารถนำไปสู่การเปลี่ยนแปลงพฤติกรรมอย่างยั่งยืนได้หรือไม่ ในรูปที่ 12 คณะวิจัยได้วิเคราะห์ spillover effects ต่อปัจจัยที่ส่งผลต่อการชำระหนี้ในระยะยาว ได้แก่ ความตระหนักรู้ต่อแนวทางบริหารจัดการหนี้ ความคาดหวังต่อโอกาสในการปิดจบหนี้ (subjective expectations) และการปรับเปลี่ยนพฤติกรรมในการจัดสรรแรงงานเพื่อหารายได้มาชำระหนี้เพิ่ม โดยใช้ข้อมูลจากการสำรวจเชิงลึกเพื่อเปรียบเทียบประสิทธิผลใน 2 ช่วงเวลาสำคัญ ได้แก่ ผลกระทบระหว่างดำเนินโครงการ และผลกระทบภายหลังจากสิ้นสุดโครงการ
การดำเนินมาตรการธนาคารใกล้บ้านและการลงพื้นที่อย่างต่อเนื่องส่งผลเพิ่มเติมในการสร้างเสริมความตระหนักรู้ต่อการจัดการหนี้ โดยผลลัพธ์ดังกล่าวยังคงปรากฏชัดเจนแม้ภายหลังสิ้นสุดโครงการ จากรูปที่ 12a คณะวิจัยพบว่ากลุ่ม T3 และ T4 โดยเฉพาะในกลุ่มลูกหนี้ที่ไม่ได้เข้าพักชำระหนี้ มีความตระหนักรู้เพิ่มขึ้นอย่างมีนัยสำคัญว่าการชำระเพียงดอกเบี้ยจะส่งผลกระทบเป็นปัญหาในระยะยาว ประเด็นที่น่าสนใจคือความตระหนักรู้นี้ยังคงดำรงอยู่ต่อเนื่องไปจนถึงระยะยาวสำหรับทั้งสองกลุ่ม
แต่แม้มาตรการเหล่านี้จะช่วยกระตุ้นพฤติกรรมทางเศรษฐกิจในระยะสั้น แต่ผลลัพธ์ดังกล่าวยังไม่นำไปสู่การเปลี่ยนแปลงที่ยั่งยืนภายหลังจากสิ้นสุดโครงการ โดยรูปที่ 12b พบว่ากลุ่ม T3 ที่เข้ามาตรการพักหนี้มีความเชื่อมั่นในการปิดจบหนี้เพิ่มขึ้นและพยายามหารายได้มากขึ้นในช่วงแรกเพื่อบรรลุเป้าหมายการชำระหนี้ ทว่าพฤติกรรมเหล่านี้กลับไม่ต่อเนื่องเมื่อมาตรการสิ้นสุดลง ภาครัฐและสถาบันการเงินจึงอาจจำเป็นต้องดำเนินมาตรการต่อเนื่องไประยะหนึ่งจนกว่าลูกหนี้จะเห็นผลการลดหนี้ที่เป็นรูปธรรม และนำไปสู่การเปลี่ยนแปลงเชิงพฤติกรรมในระยะยาวขึ้น3
งานวิจัยนี้มุ่งศึกษาแนวทางการแก้หนี้เกษตรกรที่รัฐ สถาบันการเงิน และลูกหนี้สามารถดำเนินการร่วมกันได้ทันที เพื่อหาทางออกจากกับดักหนี้ โดยก้าวข้ามข้อจำกัดด้านการเพิ่มศักยภาพและรายได้ ซึ่งแม้จะเป็นปัจจัยที่สำคัญที่สุดแต่ต้องอาศัยระยะเวลาและทำได้ยาก โดยมีข้อสรุปสำคัญดังนี้
การชำระหนี้ได้น้อยไม่ได้มีสาเหตุมาจากข้อจำกัดด้านรายได้เพียงอย่างเดียว โดยงานวิจัยสะท้อนให้เห็นว่า การ nudge เพื่อสร้างวินัย แรงจูงใจ และการเพิ่มความสะดวกและลดต้นทุนในการชำระ ก็สามารถกระตุ้นให้เกษตรกรชำระหนี้ได้มากขึ้นอย่างมีนัยสำคัญ
การแก้กับดักหนี้ในระยะยาวต้องอาศัยรัฐในการ "ติดกระดุมเม็ดแรก" ให้ถูกต้อง นั่นคือการปรับโครงสร้างหนี้ให้สอดคล้องกับศักยภาพ เพื่อให้เงินที่ลูกหนี้ชำระสามารถนำไปตัดเงินต้นได้จริง เช่นเดียวกับมาตรการนาทีทองชำระเงินต้น ซึ่งภายใต้ภาระหนี้สะสมที่สูงในปัจจุบัน การสนับสนุนทางงบประมาณจากภาครัฐจึงเป็นสิ่งจำเป็น (Chantarat et al., Forthcoming) แสดงแนวทางการออกแบบการปรับโครงสร้างหนี้อย่างคุ้มค่า)
แต่มาตรการปรับโครงสร้างหนี้เพียงอย่างเดียวอาจยังไม่เพียงพอ (necessary but not sufficient) สถาบันการเงินต้องมีบทบาทเชิงรุกในการสร้างความตระหนักรู้ จูงใจ สร้างวินัย และลดข้อจำกัดในการชำระ
บทเรียนจากการทดลองแสดงให้เห็นว่ามาตรการที่ดีต้องให้ความสำคัญกับ FEAST:
- Flexible: มีเงื่อนไขการชำระหนี้ที่ยืดหยุ่น เพื่อตอบโจทย์เกษตรกรที่มีรายได้อาจเข้ามาบ่อย แต่ไม่แน่นอน
- Easy: ทำให้การชำระหนี้สะดวกขึ้น และลดต้นทุนในการชำระหนี้ เช่น ธนาคารใกล้บ้าน หรือเพิ่มช่องทางการชำระดิจิทัลสำหรับบางกลุ่ม
- Attractive: ทำให้การชำระหนี้คุ้มค่า จูงใจ เช่น มาตรการนาทีทองชำระเงินต้น หรือ สลากชำระดีมีโชค
- Social: ใช้กลไกกลุ่มและพันธสัญญาทางสังคม (social commitment) เช่น การจัดกิจกรรมรับชำระร่วมกันในชุมชน
- Timely: จัดรอบชำระหรือมาตรการกระตุ้นการชำระหนี้ให้ "ตรงจังหวะ" กับรายได้จริง เช่น นัดวันออกไปรับชำระให้ตรงกับวันขายผลผลิต
ผลการศึกษานี้สะท้อนโอกาสในการออกแบบโมเดลแก้หนี้เกษตรกรอย่างเป็นรูปธรรม ผ่านความร่วมมือ (partnership) ระหว่าง "รัฐ" ที่ช่วยวางรากฐานการปรับโครงสร้างหนี้ให้สอดคล้องกับศักยภาพที่แท้จริง เพื่อให้การชำระหนี้สามารถลดเงินต้นได้จริง "สถาบันการเงิน" ที่ทำหน้าที่สร้างแรงจูงใจ วินัย และเงื่อนไขการชำระที่ตอบโจทย์เกษตรกร และ "ลูกหนี้" ที่มีความมุ่งมั่นในการพึ่งตนเองและชำระหนี้อย่างเต็มกำลัง ทั้งนี้ หัวใจสำคัญคือความต่อเนื่องของมาตรการ เพื่อ set expectation และเพื่อให้เกิดผลสัมฤทธิ์ที่จับต้องได้จริง อันจะนำไปสู่การเปลี่ยนแปลงพฤติกรรมในระยะยาว
เอกสารอ้างอิง
- เนื่องจากกระบวนการทดลองส่วนใหญ่เน้นการสื่อสารข้อมูลเชิงปฏิบัติซึ่งอาจเกิดการบอกต่อหรือถ่ายทอดข้อมูลระหว่างลูกหนี้ได้ง่าย การแยกพื้นที่การทดลองให้ห่างกันจึงช่วยให้เห็นผลของแต่ละกลุ่มทดลองได้ชัดเจนขึ้น การสุ่มดำเนินการในระดับสาขาจึงตั้งอยู่ภายใต้สมมุติฐานว่า ลูกหนี้ในแต่ละสาขามีระยะห่างกันมากพอที่การถ่ายทอดข้อมูล และ spillover effect ในมิติต่าง ๆ ของมาตรการที่ทำในกลุ่มทดลองจะเป็นไปได้ยาก↩
- รายละเอียดของพื้นที่ทดลองใน 19 จังหวัดใน 6 ภูมิภาค ดังนี้: ภาคเหนือตอนบน: เชียงใหม่ และเชียงราย ภาคเหนือตอนล่าง: สุโขทัย และพิษณุโลก ภาคตะวันออกเฉียงเหนือตอนบน: อุดรธานี และขอนแก่น ภาคตะวันออกเฉียงเหนือตอนล่าง: อุบลราชธานี และนครราชสีมา (รวมพื้นที่ครอบคลุมจังหวัดใกล้เคียง) ภาคกลางและภาคตะวันออก: สุพรรณบุรี, พระนครศรีอยุธยา, สระบุรี, ฉะเชิงเทรา และจันทบุรี ภาคใต้: สุราษฎร์ธานี และสงขลา↩
- ทั้งนี้ การสร้างผลลัพธ์ที่ยั่งยืนไม่ได้ขึ้นอยู่กับการขยายระยะเวลาดำเนินมาตรการเพียงอย่างเดียว การมีกลไกเสริมอย่าง "Nudge Plus" (Banerjee & John, 2024) เพื่อสะกิดการเปลี่ยนทัศนคติและพฤติกรรมร่วมด้วยก็อาจเสริมสร้างความยั่งยืนของมาตรการได้อย่างคุ้มค่า โดยคณะวิจัยได้ทดลองใช้ “สมุดพลังใจ” กับกลุ่ม T2 และ T4 ที่มีมาตรการสลากชำระดีมีโชค เพื่อมุ่งให้ลูกหนี้ได้เข้าใจสถานะหนี้ และภาระหนี้ที่ลดลงเมื่อชำระหนี้ เพื่อเป็นการสร้างความรู้สึกถึง "ความสำเร็จเล็ก ๆ" (Small wins) และกำลังใจ ซึ่ง Chantarat et al. (2026) พบว่าการใช้สมุดนี้อย่างต่อเนื่องส่งผลบวกในระยะยาวต่อทั้งความตระหนักรู้ กำลังใจในการปิดจบหนี้ภายใน 20 ปี และความพยายามหารายได้เพิ่มเพื่อชำระหนี้↩


















